相信有不少工程师在使用功率放大器的时候都会遇到一个问题,那就是:由于测试的负载阻抗太大,因此在所需的频率下,功率放大器的输出电流无法达到需要的大小,功率放大器的性能无法完全释放(该情况在磁场测试等场景中尤为多见)。
那么这个问题如何解决?我们今天就给大家介绍一种方法来改变我们的回路阻抗,也就是LC谐振电路。
什么是LC谐振电路?
谐振电路,是使用电感(L)和电容(C)在特定频率下引起谐振的电路。谐振电路分串联谐振电路和并联谐振电路两种。谐振时,串联谐振电路的阻抗最小,并联谐振电路的阻抗最大。
在此之前我们先给大家介绍一下谐振频率,谐振频率是物体或系统自然振动的固有频率。当从外部以该频率提供能量时,会产生称为“谐振”的现象,从而使系统的振动被放大。要想深入了解这种现象,需要先了解“固有振动”的概念。固有振动是指物体受到外部冲击后以其自身的固有频率产生的自然振动。这个频率是由物体的形状、质量和弹性决定的,无论外部冲击的大小如何,物体只会以这个频率振动。

(本图片素材来自于网络)
而当以谐振频率发生谐振时,系统会非常有效地吸收和存储外部能量。在电路中,通过电阻、电感和电容的组合来决定谐振频率,当电路在该谐振频率下工作时,电感和电容之间将会高效地传输“电磁能”,从而使整个电路存储的能量达到最大。
关于并联谐振电路
首先先来看一下LC串联谐振电路。电感和电容串联在一起,如下图所示。
(本图片素材来自于网络)
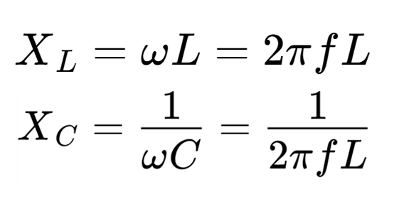
电容器和电感器两端的电压之和就是开路端子两端的总电阻之和v=vL+vC。LC电路+ Ve端子中的电流等于通过电感器(L)和电容器(C)的电流i=iL=iC。电感的感抗和频率成正比,电容的容抗与频率成反比。因此当频率增加时,电感的感抗XL增加,但是电容的容抗XC减小。

当频率达到某个特定值时,LC串联电路的感抗和容抗相等,谐振就产生了
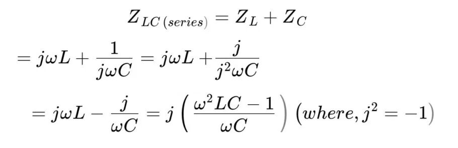
那么我们回到串联谐振回路的阻抗Z。看一下谐振时候的Z是多少。

当电路工作在谐振频率f0时,根据上面的公式,带入阻抗Z,可以得到Z=0.也就是说,LC串联谐振电路,感抗和容抗相互抵消,对外呈现短路特性,电路中的电流最大。因此,串联LC电路在与负载串联连接时将充当在谐振频率下具有零阻抗的带通滤波器。
当频率低于谐振频率f0时,XC远大于XL,电路呈容性;当工作频率高于谐振频率10时,XL远大于XC,电路呈感性。当在工作频率等于谐振频率f0时,电流最大,电路只有电阻在工作。
关于串联谐振电路
LC并联电路电感和电容两端的电压相同v=vL=vC。流经并联LC电路的总电流等于流经电感器的电流与流经电容器的电流之和I=IL+IC.

(本图片素材来自于网络)
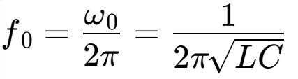
在谐振条件下,当感抗 (XL)等于容抗(XC)时,无功支路电流相等且相反。因此,它们彼此抵消,以使电路中的电流最小,在这种状态下,总阻抗最大。LC并联谐振电路的谐振频率如下:

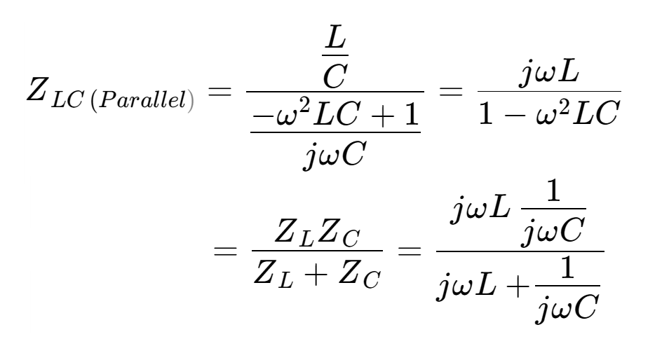
再来看一下谐振时候的电路阻抗Z。

把谐振频率f0带入到上面阻抗公式可以得到,阻抗呈无穷大,电路呈开路状态。因此,并联LC电路在与负载串联时,将充当在谐振频率处具有无限阻抗的带阻滤波器。与负载并联的并联LC电路将用作带阻滤波器。
当频率低于谐振频率f0时,XL远大于XC,电路呈感性;当工作频率高于谐振频率f0时,XC远大于XL,电路呈容性。当在工作频率等于谐振频率f0时,电流最小,阻抗最大。
LC谐振电路的其他应用
当然除了能够改变回路阻抗以外,谐振电路在功放使用场景中还有其他的应用。例如我们可以进行滤波:
噪声滤波
LC谐振利用其在谐振频率下阻抗最小、非谐振频率阻抗增大的特性,通过合理设置电感、电容参数,构建滤波网络。该网络可有效筛选特定频率信号,抑制其他频段干扰与谐波成分,实现对信号的波形整形与净化,在信号处理中发挥选频与滤波功能,保障输出信号的纯净度与质量。

(本图片素材来自于网络)
带阻滤波
还可以构成带阻滤波器,利用其在谐振频率f0下呈现高阻抗的特性,实现对特定频率信号的抑制。当输入信号流经LC并联网络时,若频率等于f0,电感L和电容C的并联组合因发生谐振,阻抗达到最大值且呈纯电阻性,此时信号难以通过该网络,相当于被“阻断”;而对于偏离 f0 的其他频率信号,LC网络的阻抗迅速减小,信号得以顺利通过。通过调整电感L和电容C的参数,可精准设定需抑制的频率,最终实现有效滤除目标干扰频率、净化信号的效果。